Twitter | Pretraživanje | |
Srinivasa Raghava K 26. sij
Odgovor korisniku/ci @fermatslibrary
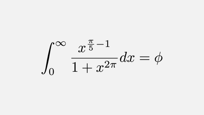
We can obtain a lot of special and interesting values from this integral.
Reply Retweet Označi sa "sviđa mi se"
David Salamanca 26. sij
Odgovor korisniku/ci @fermatslibrary
More likeable as a series representation.
Reply Retweet Označi sa "sviđa mi se"
Ray Hua Wu 26. sij
Odgovor korisniku/ci @Dsalamanca_ @fermatslibrary
not sure this is more likeable
Reply Retweet Označi sa "sviđa mi se"
. 26. sij
Odgovor korisniku/ci @fermatslibrary
Reply Retweet Označi sa "sviđa mi se"
. 26. sij
Odgovor korisniku/ci @fermatslibrary @diegorattaggi
Reply Retweet Označi sa "sviđa mi se"
Jay ✨ 26. sij
Odgovor korisniku/ci @fermatslibrary
Too many ways to describe Golden Ratio (𝜙) in integrals. Here is one relation as an identity derived from the Rogers-Ramanujan continued fraction
Reply Retweet Označi sa "sviđa mi se"
DℝOℕ∈ 26. sij
Odgovor korisniku/ci @fermatslibrary
Some pi phi and pi over phi goodness (coincidence)
Reply Retweet Označi sa "sviđa mi se"
Electric Sheep 26. sij
Odgovor korisniku/ci @d_r_o_n_e @fermatslibrary
The number five seems to be the common thread
Reply Retweet Označi sa "sviđa mi se"
Niall Madden 26. sij
Odgovor korisniku/ci @fermatslibrary
Cool! Here's another one.
Reply Retweet Označi sa "sviđa mi se"