Twitter | Pretraživanje | |
Fermat's Library
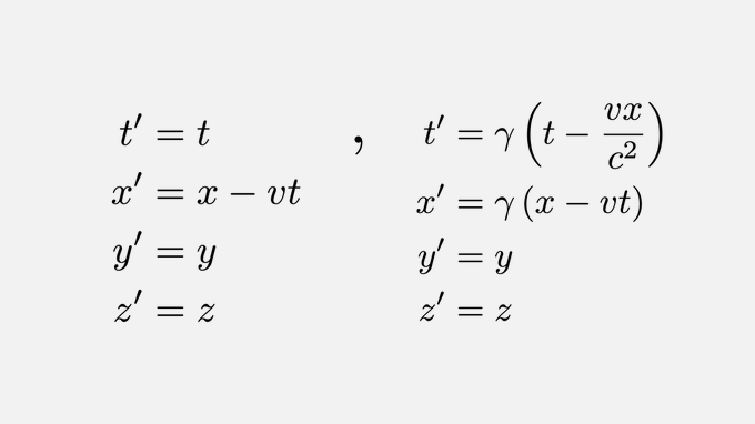
It took us 255 years to go from Galilean transformations for falling bodies to Lorentz transformations that are in accordance with Einstein's special relativity.
Reply Retweet Označi sa "sviđa mi se" More
Astro_Neel 22. sij
Odgovor korisniku/ci @fermatslibrary
where γ is the Lorentz factor that depends upon the velocity of the moving object and is given by: γ = 1/√(1-v²/c²) It oscillates between 1 (for objects at rest) and 0 (for speed of light) so the above formulae would be expanded into these forms-
Reply Retweet Označi sa "sviđa mi se"
Jon 22. sij
Odgovor korisniku/ci @Astro_Neel @fermatslibrary
it's btwn 1 and infinity pal
Reply Retweet Označi sa "sviđa mi se"
harry miley 22. sij
Odgovor korisniku/ci @fermatslibrary
It took 255 years *for an observer at rest in our reference frame*.
Reply Retweet Označi sa "sviđa mi se"
K100dra (10🦄) 22. sij
Odgovor korisniku/ci @fermatslibrary
Is there a math demonstration that takes us there clearly explained somewhere ? What I hated in Physics was that all those formulas were imposed upon us, never demonstrated and that the teacher wasn't usually able to resolve an equation beyond the 3rd line.
Reply Retweet Označi sa "sviđa mi se"
Tamás Kisely 22. sij
Odgovor korisniku/ci @K100dra3 @fermatslibrary
Do you know Hudson-Nelson University physics book? Or Feyman lectures? They could help if you understand calculus.
Reply Retweet Označi sa "sviđa mi se"
Bennett 22. sij
Odgovor korisniku/ci @fermatslibrary
255 is the product of the first three Fermat primes and also the maximum value representable by 8-bit, that's why it took us so long.
Reply Retweet Označi sa "sviđa mi se"
Paul Cantrell 22. sij
Odgovor korisniku/ci @BennettDams @fermatslibrary
Ah, great minds think alike, I see.
Reply Retweet Označi sa "sviđa mi se"
Garry W Briggs 22. sij
Odgovor korisniku/ci @fermatslibrary @NASA @esa
PROBLEMO = Einstein stuff follows The HARE and the TORTOISE = the hare or rabbit never overtakes the TORTOISE = so that we never measure going faster than light c +++ . Saving The Planet Earth by Science and Mathematics and The Arts .
Reply Retweet Označi sa "sviđa mi se"
Electric Sheep 22. sij
Some clever inventor thinks he can go further into the future by relativistically slowing down his clock in some contraption, meanwhile everyone else’s time is sped up,right?
Reply Retweet Označi sa "sviđa mi se"
LeDubstepSimpsonFace 22. sij
Odgovor korisniku/ci @fermatslibrary
Yeah, and then it only took Einstein a decade to invent General Relativity, which takes gravity into account, and everyone who mattered, pop sci writers excluded, kinda forgot about "Special" Relativity. E=mc2 is where it's at since about a century, not this curious special case.
Reply Retweet Označi sa "sviđa mi se"
Levi 🧪 22. sij
Odgovor korisniku/ci @home_taping @fermatslibrary
Ironically, E=mc^2 is a special case of a more general formula that can be derived starting from lorentz transformations.
Reply Retweet Označi sa "sviđa mi se"