Twitter | Pretraživanje | |
Fermat's Library
Fermat dies in 1665 - his last theorem is unsolved ↓ ⏳88 y ↓ Euler proves it for n=3 ↓ ⏳72 y ↓ Legendre & Dirichlet prove it for n=5 ↓ ⏳14 y ↓ Lamé proves it for n=7 ↓ ⏳69 y ↓ Wolfskehl offers prize for solution in the next 100 years ↓ ⏳86 y ↓ Wiles proves it 🎉
Reply Retweet Označi sa "sviđa mi se" More
Rishi Bagree 🇮🇳 20. sij
Odgovor korisniku/ci @fermatslibrary
Pythagorean theorem = 3^2 + 4^2 = 5^2
Reply Retweet Označi sa "sviđa mi se"
. 20. sij
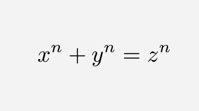
Odgovor korisniku/ci @rishibagree @fermatslibrary
You have to prove that there is no non-trivial whole number solution to the equation x^(n)+y^(n)=z^(n) Where n is greater than 2
Reply Retweet Označi sa "sviđa mi se"
Luis Batalha 🇵🇹🇺🇸 20. sij
Odgovor korisniku/ci @fermatslibrary
Feynman's angle of attack on Fermat's Last Theorem is also really cool
Reply Retweet Označi sa "sviđa mi se"
John Carlos Baez 20. sij
Odgovor korisniku/ci @fermatslibrary
Now would be a good time to remember Sophie Germain, who was barred from attending university but proved the equation x^p + y^p = z^p where p doesn't divide x,y,z has no solutions for primes p < 100.
Reply Retweet Označi sa "sviđa mi se"
alex n 20. sij
Odgovor korisniku/ci @fermatslibrary
Link to the proof?
Reply Retweet Označi sa "sviđa mi se"
SKZCartoons comics and stuff 20. sij
Odgovor korisniku/ci @gigatexal @fermatslibrary
It's over a hundred pages long :)
Reply Retweet Označi sa "sviđa mi se"
Roger Sauer 20. sij
Odgovor korisniku/ci @fermatslibrary
The lesson here with Fermat is that if you’re going to prove something, prove it while you are alive. For example DeWille Frommer (1738-1805) was sure he had proved his alternative to theory of Gravity, which he called EarthSuck. But he died and the theory has yet to be proven.
Reply Retweet Označi sa "sviđa mi se"
Timothy Gowers 20. sij
Odgovor korisniku/ci @rsauer3473 @fermatslibrary
There goes my long-term plan for proving that P=/=NP.
Reply Retweet Označi sa "sviđa mi se"